21/06/2021
Kampen mod huller i tænderne, også kendt som caries, har traditionelt fokuseret på fluor, tandbørstning og en sukkerfattig kost. Men hvad nu hvis vi kunne tilføje et nyt, levende våben til vores arsenal? Forestil dig en 'god' bakterie, der aktivt bekæmper de skadelige mikroorganismer i din mund og skaber et sundere miljø for dine tænder. Denne vision er nu en realitet takket være forskningen i orale probiotika, og i spidsen for denne revolution finder vi en bemærkelsesværdig mikroorganisme: Streptococcus dentisani 7746.

Dette er ikke en hvilken som helst bakterie. Den blev oprindeligt isoleret fra tandplak hos personer, der er naturligt fri for caries, hvilket gav forskerne det første hint om dens beskyttende potentiale. I modsætning til mange probiotika, der er rettet mod tarmsystemet, er S. dentisani en naturlig beboer i mundhulen, designet til at trives og virke præcis dér, hvor kampen mod huller i tænderne finder sted. Denne artikel dykker ned i videnskaben bag S. dentisani 7746, dens virkningsmekanismer, og hvad kliniske studier afslører om dens evne til at forbedre vores mundsundhed.
Hvad er Streptococcus dentisani 7746?
Streptococcus dentisani 7746, hvis fulde videnskabelige navn er Streptococcus oralis subsp. dentisani, er en specifik stamme af bakterier, der tilhører den store familie af streptokokker. Mens nogle streptokokker er berygtede for at forårsage sygdomme som halsbetændelse eller caries (f.eks. Streptococcus mutans), er mange andre helt harmløse eller endda gavnlige. S. dentisani hører til den sidste kategori. Den er blevet identificeret som en nøglekomponent i et sundt oralt mikrobiom – det komplekse økosystem af mikroorganismer, der lever i vores mund.
Det, der gør stamme 7746 så speciel, er dens unikke kombination af egenskaber, som forskere har beskrevet som en 'tredobbelt virkning' mod caries. Den angriber ikke blot problemet fra én vinkel, men fra flere sider samtidigt, hvilket gør den til en yderst lovende kandidat inden for forebyggende tandpleje.
Den Tredobbelte Virkning: En Dybdegående Analyse
S. dentisani 7746's effektivitet skyldes tre primære mekanismer, der arbejder i synergi for at beskytte tænderne mod syreangreb og skadelige bakterier.
1. Antimikrobiel Aktivitet: Produktion af Bacteriociner
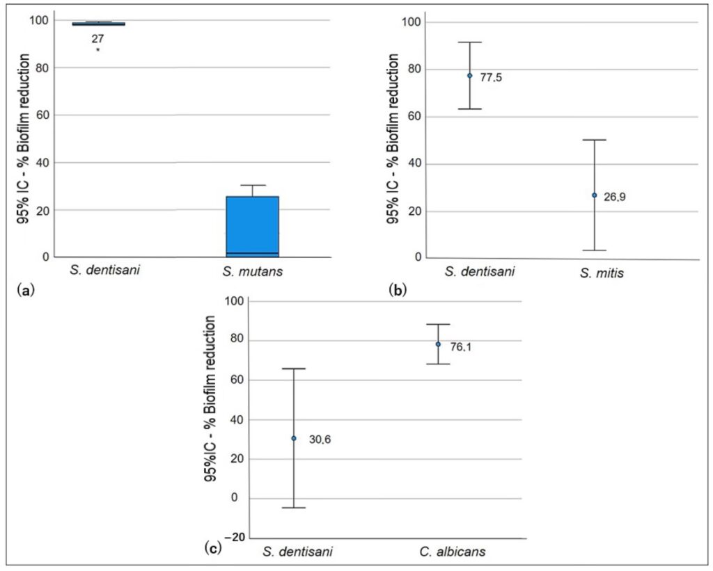
En af de mest potente egenskaber ved S. dentisani 7746 er dens evne til at producere bacteriociner. Dette er små proteinlignende molekyler, der fungerer som et slags naturligt antibiotikum. De er yderst specifikke og kan hæmme eller dræbe konkurrerende bakteriestammer, herunder nogle af de primære årsager til caries som Streptococcus mutans og Streptococcus sobrinus. Ved at reducere antallet af disse 'dårlige' bakterier, hjælper S. dentisani med at forhindre dannelsen af den skadelige syre, der nedbryder tandemaljen. Forskning har vist, at denne hæmmende effekt er mest udtalt, når mængden af de skadelige bakterier er lav, hvilket understreger S. dentisani's rolle i forebyggelse frem for behandling af eksisterende, alvorlige cariesangreb.

2. pH-Balancerende Egenskaber: Syreneutralisering
Når vi indtager sukker og kulhydrater, omdanner caries-fremkaldende bakterier disse til syre, hvilket får pH-værdien i munden til at falde drastisk. Dette sure miljø er hovedårsagen til, at tandemaljen demineraliseres og huller opstår. Her træder S. dentisani 7746 til med sin anden superkraft: evnen til at neutralisere syre. Den gør dette via en proces kaldet arginin-deiminase-systemet (ADS). Kort fortalt kan bakterien nedbryde aminosyren arginin (som findes i spyt og fødevarer) og producere ammoniak som et biprodukt. Ammoniak er basisk og hæver pH-værdien i plakken, hvilket modvirker syreangrebet og skaber et mindre gæstfrit miljø for de syreproducerende bakterier. Denne bufferkapacitet er afgørende for at beskytte emaljen mod opløsning.
3. Effektiv Kolonisering: En Vedvarende Beskytter
Et probiotikum er kun effektivt, hvis det kan etablere sig og overleve på det sted, hvor det skal virke. Mange generelle probiotika, der er designet til tarmen, har svært ved at kolonisere mundhulen. S. dentisani 7746 er derimod en naturlig beboer af den dentale biofilm (plak). Det betyder, at den har en medfødt evne til at binde sig til tandoverflader og blive en integreret del af det orale mikrobiom. Studier har vist, at efter påføring kan S. dentisani 7746 forblive i mundhulen i 2-4 uger, hvilket giver en vedvarende beskyttende effekt.
Kliniske Studier Bekræfter Potentialet
Et randomiseret, dobbeltblindet, placebokontrolleret studie – den gyldne standard inden for klinisk forskning – har evalueret den kliniske effekt af S. dentisani 7746. I dette studie blev 59 frivillige opdelt i en behandlingsgruppe og en placebogruppe. Behandlingsgruppen påførte en gel indeholdende 2,5 milliarder levende S. dentisani 7746-bakterier via en tandskinne i 5 minutter hver anden dag i en måned. Resultaterne var signifikante og pegede i en klar retning:
- Forbedret Spytflow: Gruppen, der modtog probiotikummet, havde et signifikant højere spytflow sammenlignet med placebogruppen. Spyt er afgørende for at rense munden og neutralisere syre.
- Reduktion af Plak og Tandkødsbetændelse: Deltagerne i probiotikagruppen oplevede en mærkbar reduktion i mængden af tandplak og tegn på tandkødsbetændelse (gingivitis).
- Biokemiske Forbedringer: Der blev målt et signifikant højere niveau af ammoniak og calcium i spyttet hos probiotikagruppen, hvilket understøtter bakteriens pH-balancerende og remineraliserende potentiale.
- Et Sundere Mikrobiom: Avanceret sekventering af plakprøver viste et positivt skift i bakteriesammensætningen. Mængden af flere caries-fremkaldende organismer og nøglebakterier i plakdannelse blev reduceret.
Studiet bemærkede dog også en udfordring: ikke alle deltagere opnåede lige god kolonisering af bakterien. Dette indikerer, at fremtidig forskning kan fokusere på at forbedre metoderne til påføring for at maksimere den gavnlige effekt for alle brugere.
Sammenligning med Traditionel Tandpleje
Hvordan står S. dentisani 7746 i forhold til de metoder, vi allerede kender og bruger? Nedenstående tabel giver et overblik.
| Egenskab | Streptococcus dentisani 7746 | Traditionel Tandpleje (f.eks. Fluor) |
|---|---|---|
| Virkningsmekanisme | Biologisk konkurrence, produktion af bacteriociner, aktiv pH-neutralisering. | Mekanisk fjernelse af plak (børstning), kemisk styrkelse af emaljen (fluor). |
| Mål | Ændrer det økologiske miljø for at favorisere sunde bakterier. | Fjerner alle bakterier (midlertidigt) og gør tænderne mere modstandsdygtige. |
| Tilgang | Proaktiv og forebyggende. Tilføjer 'gode' elementer. | Reaktiv og defensiv. Fjerner 'dårlige' elementer. |
| Langtidseffekt | Potentielt vedvarende ændring af mikrobiomet ved succesfuld kolonisering. | Effekten varer, så længe plejen opretholdes dagligt. |
Ofte Stillede Spørgsmål (FAQ)
Er S. dentisani 7746 sikkert at bruge?
Ja. S. dentisani er en naturligt forekommende bakterie i den menneskelige mundhule hos sunde individer. Kliniske studier har ikke vist nogen sikkerhedsproblemer ved brugen af stamme 7746 som et probiotikum.

Hvordan anvendes dette probiotikum?
I de kliniske studier blev det anvendt som en gel, der blev påført tænderne ved hjælp af en specialtilpasset tandskinne. Kommercielle produkter kan komme i andre former, såsom sugetabletter eller mundskyl.
Kan det erstatte tandbørstning og tandtråd?
Absolut ikke. S. dentisani 7746 skal ses som et supplement til en god, daglig mundhygiejne, ikke en erstatning. Mekanisk fjernelse af plak gennem tandbørstning og brug af tandtråd er stadig fundamentet for sunde tænder og tandkød.
Hvad er udfordringerne ved at bruge S. dentisani?
Forskning peger på et par udfordringer. Forskellige stammer af S. dentisani kan hæmme hinanden, og der er en teoretisk risiko for, at skadelige bakterier kan udvikle resistens over for dens bacteriociner. Derfor er det vigtigt, at kommercielle probiotiske produkter gennemgår løbende kvalitetskontrol for at sikre deres effektivitet.
Konklusion: Et Nyt Kapitel i Forebyggende Tandpleje
Streptococcus dentisani 7746 repræsenterer et spændende paradigmeskifte i vores tilgang til mundsundhed. I stedet for udelukkende at fokusere på at fjerne bakterier, kan vi nu arbejde aktivt for at fremme et sundt og afbalanceret oralt mikrobiom. Med sin tredobbelte virkning – bekæmpelse af patogener, neutralisering af syre og evnen til at kolonisere tænderne – har S. dentisani 7746 i kliniske studier vist sig at være et effektivt værktøj til at forbedre flere kliniske og mikrobiologiske parametre forbundet med oral sundhed. Selvom det ikke er en mirakelkur, der kan erstatte den daglige tandbørstning, er det et yderst lovende supplement, der kan give mange mennesker en ekstra fordel i den livslange kamp mod caries.
Hvis du vil læse andre artikler, der ligner S. dentisani 7746: Probiotika mod huller i tænderne, kan du besøge kategorien Sundhed.
