26/01/2003
I matematikkens verden støder vi ofte på processer, der er afhængige af hinanden. Forestil dig, at prisen for at opvarme et hus afhænger af den gennemsnitlige daglige temperatur, og denne temperatur afhænger igen af, hvilken dag på året det er. Her har vi en kæde af afhængigheder: Prisen afhænger af temperaturen, som afhænger af dagen. Denne idé om at kombinere funktioner, så outputtet fra den ene funktion bliver inputtet til den næste, kaldes funktionssammensætning. Det er et kraftfuldt værktøj, der giver os mulighed for at skabe nye, mere komplekse funktioner ud fra simplere byggeklodser.

Denne artikel vil guide dig igennem alt, hvad du behøver at vide om funktionssammensætning. Vi vil nedbryde processen trin for trin, se på hvordan man evaluerer sammensatte funktioner ved hjælp af formler, tabeller og grafer, og dykke ned i det vigtige koncept om at bestemme domænet for en sammensat funktion. Uanset om du er studerende, der kæmper med algebra, eller bare nysgerrig på at genopfriske dine matematiske færdigheder, vil denne guide give dig en solid forståelse.
Hvad er en Sammensat Funktion?
En sammensat funktion opstår, når vi anvender en funktion på resultatet af en anden funktion. Processen med at kombinere dem på denne måde kaldes funktionssammensætning. Den resulterende funktion er kendt som en sammensat funktion.
Vi repræsenterer denne kombination med følgende notation:
(f ∘ g)(x) = f(g(x))
Vi læser venstresiden som "f sammensat med g af x", og højresiden som "f af g af x". De to sider af ligningen har samme matematiske betydning og er lig med hinanden. Det åbne cirkelsymbol, ∘, kaldes sammensætningsoperatoren.
Det er afgørende at forstå rækkefølgen af operationerne. Vi følger den sædvanlige konvention med parenteser ved at starte med den inderste parentes først og arbejde os udad. I ligningen ovenfor tager funktionen g først inputtet x og producerer et output g(x). Dette output, g(x), bliver derefter inputtet til funktionen f, som producerer det endelige output f(g(x)). Man kan tænke på g(x) som den indre funktion og f(x) som den ydre funktion.
Rækkefølgen er Vigtig
En af de mest almindelige faldgruber er at antage, at rækkefølgen ikke betyder noget. I de fleste tilfælde er f(g(x)) og g(f(x)) to helt forskellige funktioner.

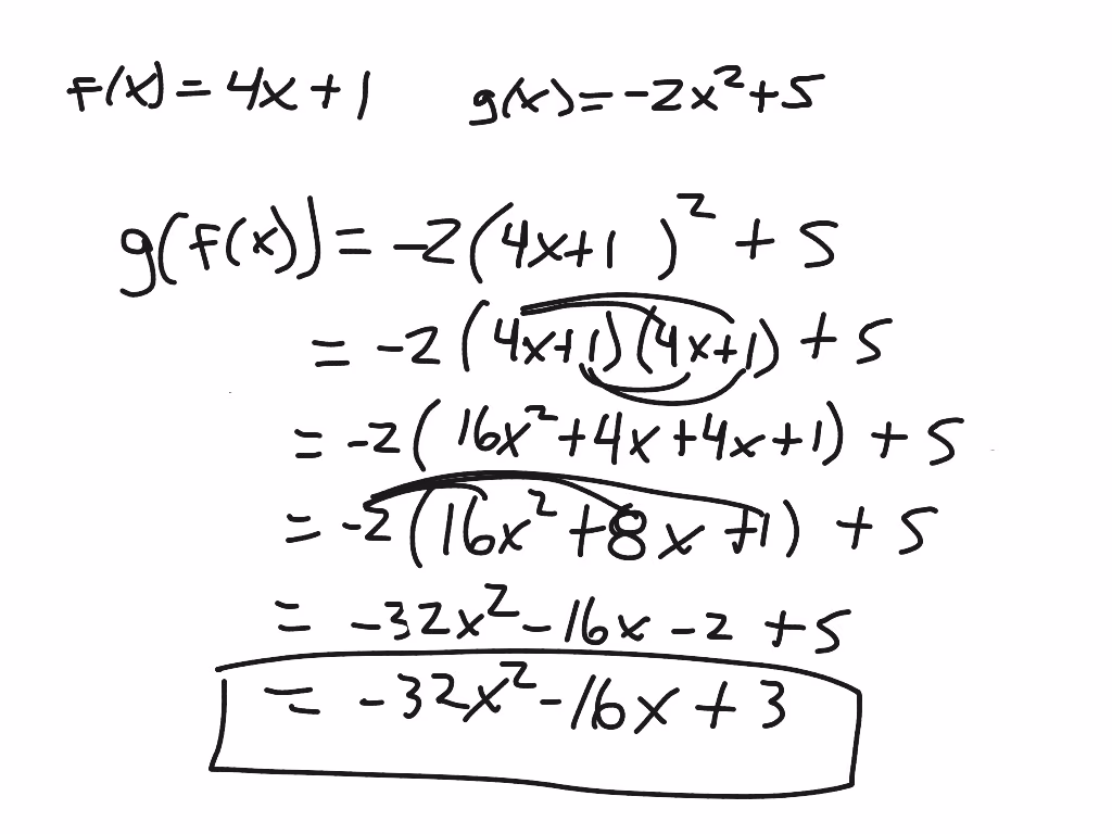
Lad os se på et eksempel. Antag at vi har to funktioner:
f(x) = x²g(x) = x + 2
Lad os nu finde f(g(x)):
f(g(x)) = f(x + 2) = (x + 2)² = x² + 4x + 4
Og lad os så finde g(f(x)):
g(f(x)) = g(x²) = x² + 2
Som du kan se, er x² + 4x + 4 ikke det samme som x² + 2. Derfor er funktionssammensætning generelt ikke kommutativ, hvilket betyder, at rækkefølgen, du sammensætter funktionerne i, har en afgørende betydning for resultatet.
Sådan Evaluerer du Sammensatte Funktioner
Når vi først har sammensat en ny funktion, skal vi kunne evaluere den for et givet input. Processen er den samme, uanset om vi arbejder med formler, tabeller eller grafer: arbejd indefra og ud.
Evaluering med Formler
Når du får funktioner som formler, er processen en simpel substitution. Lad os tage et eksempel:
Givet f(t) = t² - t og h(x) = 3x + 2, evaluer f(h(1)).
- Evaluer den indre funktion først: Den indre funktion er
h(1). Vi starter med at evaluereh(x)ved x = 1.h(1) = 3(1) + 2 = 5 - Brug resultatet som input til den ydre funktion: Nu ved vi, at
h(1) = 5. Vi substituerer dette resultat ind i den ydre funktionf(t).f(h(1)) = f(5) - Evaluer den ydre funktion: Nu evaluerer vi
f(t)ved t = 5.f(5) = 5² - 5 = 25 - 5 = 20
Så, f(h(1)) = 20.
Evaluering ved Hjælp af Tabeller
Når funktioner er givet som tabeller, læser vi input- og outputværdier fra tabellens rækker og kolonner. Igen arbejder vi indefra og ud.
Lad os bruge følgende tabeller til at evaluere f(g(3)).

| x | f(x) | g(x) |
|---|---|---|
| 1 | 6 | 3 |
| 2 | 8 | 5 |
| 3 | 3 | 2 |
| 4 | 1 | 7 |
- Find værdien af den indre funktion: Vi starter med
g(3). Vi kigger i tabellen under kolonnen `x` for værdien 3. Derefter aflæser vi den tilsvarende værdi i `g(x)` kolonnen. Vi ser, atg(3) = 2. - Brug dette output som nyt input: Resultatet `2` bliver nu input til den ydre funktion, `f`. Vi skal altså finde
f(2). - Find værdien af den ydre funktion: Vi kigger igen i tabellen under `x`-kolonnen for værdien 2. Derefter aflæser vi den tilsvarende værdi i `f(x)`-kolonnen. Vi ser, at
f(2) = 8.
Derfor er f(g(3)) = 8.
Evaluering ved Hjælp af Grafer
Processen er den samme, når funktionerne er repræsenteret som grafer. Vi aflæser input- og outputværdier fra x- og y-akserne.
For at evaluere f(g(1)) ved hjælp af grafer for `f` og `g`:
- Find output for den indre funktion: Find inputværdien `x = 1` på x-aksen for grafen af `g(x)`. Bevæg dig lodret op (eller ned) til du rammer grafen. Aflæs den tilsvarende y-værdi på y-aksen. Lad os sige, vi finder, at
g(1) = 3. - Brug dette output som input for den ydre funktion: Y-værdien `3` fra det første trin bliver nu vores nye x-værdi for den ydre funktion `f(x)`.
- Find det endelige output: Find inputværdien `x = 3` på x-aksen for grafen af `f(x)`. Bevæg dig lodret til grafen og aflæs y-værdien. Lad os sige, vi finder, at
f(3) = 6.
Konklusionen er, at f(g(1)) = 6.
Domænet for en Sammensat Funktion
At finde domænet for en sammensat funktion som f(g(x)) kræver lidt mere omhu. Det domæne er mængden af alle mulige inputværdier (`x`), for hvilke funktionen er defineret. For en sammensat funktion er der to betingelser, der skal være opfyldt:
xskal være i domænet for den indre funktion,g(x).- Outputtet fra den indre funktion,
g(x), skal være i domænet for den ydre funktion,f(x).
Lad os tage et eksempel for at illustrere processen:
Find domænet for (f ∘ g)(x) hvor f(x) = 5 / (x - 1) og g(x) = 4 / (3x - 2).
- Find domænet for den indre funktion, g(x): Funktionen
g(x)er udefineret, når nævneren er nul.3x - 2 = 0giverx = 2/3. Så domænet for `g` er alle reelle tal undtagen2/3. - Find domænet for den ydre funktion, f(x): Funktionen
f(x)er udefineret, når dens nævner er nul.x - 1 = 0giverx = 1. Så domænet for `f` er alle reelle tal undtagen1. - Find de x-værdier, der skal udelukkes: Vi ved allerede, at
xikke kan være2/3. Nu skal vi også udelukke de `x`-værdier, hvor outputtet af `g(x)` er `1` (fordi `1` ikke er i domænet for `f`). Vi sætterg(x) = 1og løser for `x`:4 / (3x - 2) = 14 = 3x - 26 = 3xx = 2
Dette betyder, at når inputtet til `g` er `2`, er outputtet `1`, hvilket er en ulovlig inputværdi for `f`. Derfor skal `x = 2` også udelukkes fra domænet for den sammensatte funktion.
Det endelige domæne for f(g(x)) er derfor mængden af alle reelle tal undtagen 2/3 og 2.

Dekonstruktion af Funktioner
Nogle gange er det nyttigt at gøre det omvendte: at tage en kompliceret funktion og opdele den i to simplere funktioner. Dette kaldes dekomposition og er især vigtigt i mere avanceret matematik som differentialregning (f.eks. ved brug af kædereglen).
Lad os sige, vi har funktionen h(x) = √(5 - x²). Hvordan kan vi skrive den som h(x) = f(g(x))?
Vi leder efter en funktion inde i en anden funktion. Her kan vi se, at udtrykket 5 - x² er inde i kvadratroden. Vi kan derfor vælge:
- Den indre funktion:
g(x) = 5 - x² - Den ydre funktion:
f(x) = √x
Vi kan tjekke vores svar ved at sammensætte dem igen:
f(g(x)) = f(5 - x²) = √(5 - x²), hvilket er den oprindelige funktion h(x).
Ofte Stillede Spørgsmål (FAQ)
Er f(g(x)) det samme som g(f(x))?
Nej, generelt er de ikke ens. Som vist i et tidligere eksempel, afhænger resultatet stærkt af rækkefølgen af sammensætningen. Funktionssammensætning er ikke en kommutativ operation.
Hvorfor er funktionssammensætning vigtigt?
Det er et fundamentalt koncept i matematik, der bruges til at bygge komplekse modeller ud fra simple. Det er en central del af calculus, især i forbindelse med kædereglen for differentiation. I den virkelige verden hjælper det med at modellere systemer, hvor resultatet af én proces fungerer som input til en anden, som f.eks. i økonomi, fysik og biologi.
Hvordan adskiller funktionssammensætning sig fra multiplikation af funktioner?
Dette er en almindelig kilde til forvirring. Ved sammensætning, f(g(x)), bruges outputtet fra g(x) som input til f(x). Ved multiplikation, (f · g)(x), multiplicerer man simpelthen outputtet fra f(x) med outputtet fra g(x). Resultaterne er næsten altid forskellige.
Hvis du vil læse andre artikler, der ligner Funktionssammensætning: En Komplet Guide, kan du besøge kategorien Uddannelse.
