21/01/2024
Rollen som Driftsdirektør, ofte kendt under den engelske titel Vice President (VP) of Operations, er en af de mest afgørende og dynamiske lederstillinger i en moderne virksomhed. Denne person er en central figur på direktionsgangen, der arbejder tæt sammen med den administrerende direktør og andre afdelingsledere for at sikre, at virksomhedens daglige drift kører gnidningsfrit, effektivt og i overensstemmelse med de overordnede strategiske mål. At forstå denne rolle er essentielt, ikke kun for dem, der stræber efter den, men også for enhver, der ønsker at forstå, hvordan succesfulde organisationer fungerer. Denne artikel vil dykke ned i alle aspekter af jobbet, fra de specifikke ansvarsområder og den forventede løn til den karrierevej, der fører til denne prestigefyldte position.

Hvad er en Driftsdirektør?
En Driftsdirektør er en topleder med ansvar for at styre og optimere hele organisationens operationelle struktur. Deres primære mål er at sikre, at operationelle strategier stemmer overens med forretningsmål for at fremme effektivitet, produktivitet og rentabilitet. Rollen indebærer at lede teams inden for procesforbedring, ressourcestyring, optimering af forsyningskæden og budgetadministration, alt imens der skabes en kultur præget af operationel ekspertise. De fungerer som bindeleddet mellem den strategiske vision, der er fastlagt af bestyrelsen og den administrerende direktør, og den praktiske udførelse i de forskellige afdelinger.
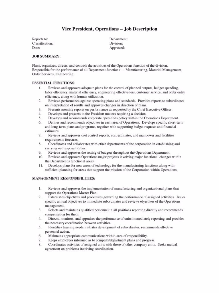
Daglige Opgaver og Ansvarsområder
En Driftsdirektørs dag er sjældent ensformig. Deres ansvarsområder er brede og kræver en kombination af strategisk tænkning og praktisk problemløsning. De arbejder tæt sammen med direktionen for at yde støtte og samarbejder med andre afdelinger for at styre alt fra rekruttering og personaleudvikling til lederskab og ansvarlighed.
De vigtigste pligter omfatter typisk:
- Strategisk Planlægning: Udvikle, implementere og administrere virksomhedens operationelle strategi i samarbejde med den øverste ledelse.
- Procesoptimering: Måle effektiviteten af alle interne og eksterne processer og implementere forbedringer for at øge produktiviteten og reducere omkostningerne.
- Ressourcestyring: Overvåge indkøbsprocesser og koordinere tildelingen af materialer og ressourcer for at sikre, at projekter og daglige opgaver kan udføres effektivt.
- Finansiel Styring: Udarbejde og administrere operationelle budgetter og prognoser, samt sikre at virksomhedens finansielle mål nås. Dette inkluderer at optimere driftsomkostninger og sikre en sund økonomisk performance.
- Ledelse og Udvikling: Støtte og coache teams, fremme individuel personaleudvikling og sikre, at organisationen har de rette talenter til at opnå sine mål.
- Overholdelse af Regler: Sikre, at alle operationer overholder juridiske og lovgivningsmæssige krav, samt virksomhedens interne politikker.
- Rapportering: Udarbejde regelmæssige rapporter om operationel performance til den øverste ledelse og bestyrelsen.
Lønrammen for en Driftsdirektør
Lønnen for en Driftsdirektør kan variere betydeligt afhængigt af faktorer som virksomhedens størrelse, branche, geografiske placering og kandidatens erfaring og kvalifikationer. De nedenstående tal er baseret på amerikanske data, men kan give en god indikation af lønniveauet for en så ansvarsfuld stilling. Beløbene i DKK er estimater baseret på en gennemsnitlig vekselkurs og bør tages med forbehold.

| Niveau | Gennemsnitlig Årsløn (USD) | Estimeret Årsløn (DKK) |
|---|---|---|
| Startløn | $140.335 | ~ 975.000 kr. |
| Gennemsnitsløn | $162.707 | ~ 1.130.000 kr. |
| Seniorløn | $181.107 | ~ 1.260.000 kr. |
Det er vigtigt at bemærke, at disse tal ofte suppleres med bonusser, aktieoptioner og andre frynsegoder, som kan øge den samlede kompensation betydeligt. I større virksomheder og i brancher med høj efterspørgsel kan lønningerne være væsentligt højere.
Vejen til at Blive Driftsdirektør
At opnå en position som Driftsdirektør er ikke noget, der sker fra den ene dag til den anden. Det kræver en målrettet indsats gennem mange år, hvor man opbygger både uddannelsesmæssige kvalifikationer og, vigtigst af alt, en solid praktisk erfaring.
Uddannelse og Certificeringer
Det grundlæggende adgangskrav er typisk en bachelorgrad. De fleste Driftsdirektører har en uddannelse inden for erhvervsøkonomi, ledelse, supply chain management eller et relateret felt. Mange vælger at supplere deres bachelorgrad med en kandidatgrad, især en Master of Business Administration (MBA), som er højt værdsat og ofte betragtes som en forudsætning i større internationale virksomheder. Udover formel uddannelse kan professionelle certificeringer som Project Management Professional (PMP) eller certificeringer inden for supply chain (f.eks. CSCP) være en stor fordel og demonstrere specialiseret viden.

Nødvendig Erfaring og Færdigheder
Erfaring er altafgørende. De fleste arbejdsgivere forventer mindst 7-10 års relevant erfaring, ofte med en dokumenteret historik af succes i ledende stillinger som f.eks. driftschef eller afdelingsleder. Det er almindeligt, at Driftsdirektører rekrutteres internt, da de allerede har en dyb forståelse for virksomhedens kultur, processer og udfordringer. Udover erfaring er et specifikt sæt af færdigheder nødvendigt for at lykkes:
- Strategisk Tænkning: Evnen til at se det store billede og udvikle langsigtede planer, der driver virksomheden fremad.
- Lederskab: Stærke ledelsesevner til at motivere, vejlede og udvikle store teams.
- Finansiel indsigt: Dyb forståelse for budgettering, finansiel planlægning og rapportering.
- Analytiske Evner: Kompetencer til at analysere data, identificere tendenser og træffe datadrevne beslutninger.
- Problem-løsning: En proaktiv tilgang til at identificere operationelle udfordringer og implementere effektive løsninger.
- Kommunikation: Fremragende mundtlige og skriftlige kommunikationsevner til at formidle komplekse oplysninger til medarbejdere, ledelse og eksterne partnere.
Arbejdsvilkår og Karrieremuligheder
Rollen som Driftsdirektør er krævende, men også meget givende. Arbejdstiden er typisk mere end en standard 9-17-stilling, da der ofte opstår uforudsete problemer, og ansvaret er stort. Overarbejde og rejseaktivitet kan være en del af jobbet, især i globale organisationer. Fleksibilitet i form af hjemmearbejde er blevet mere udbredt, men rollens natur kræver ofte fysisk tilstedeværelse for at kunne lede teams og overvåge driften effektivt. Karrieremæssigt er stillingen som Driftsdirektør ofte et springbræt til de absolutte topposter i en virksomhed, såsom Chief Operating Officer (COO) eller endda Chief Executive Officer (CEO).
Ofte Stillede Spørgsmål (FAQ)
Hvilke færdigheder har en Driftsdirektør brug for?
En Driftsdirektør har brug for en bred vifte af færdigheder, herunder exceptionelt lederskab, strategisk tænkning, stærke problemløsningsevner, finansiel indsigt og fremragende kommunikationsevner. De skal kunne håndtere komplekse situationer og lede store teams mod fælles mål.
Er en universitetsgrad nødvendig for at blive Driftsdirektør?
Ja, typisk er en bachelorgrad i erhvervsøkonomi, ledelse eller et relateret felt et minimumskrav. Mange Driftsdirektører har også en kandidatgrad, såsom en MBA, hvilket kan være en betydelig fordel, især i større virksomheder.

Hvad kendetegner en god Driftsdirektør?
En god Driftsdirektør er en strategisk tænker, der kan træffe datadrevne beslutninger for at forbedre forretningsdriften. De er effektive problemløsere, der hurtigt kan håndtere operationelle udfordringer. Vigtigst af alt er de stærke ledere, der kan guide og motivere deres teams til at yde deres bedste og samtidig have en dyb forståelse for virksomhedens overordnede mål.
Kan en Driftsdirektør arbejde hjemmefra?
Ja, en Driftsdirektør kan have mulighed for at arbejde hjemmefra. I en ledende stilling afhænger arbejdsstedet dog ofte af jobbets art og de aktuelle omstændigheder. I store virksomheder kan der være ordninger for periodisk fjernarbejde, men rollen kræver ofte fysisk tilstedeværelse for at lede teams og overvåge den daglige drift.
Konklusion: En Nøglerolle for Virksomhedens Succes
At være Driftsdirektør er utvivlsomt en af de mest udfordrende, men også mest indflydelsesrige roller i erhvervslivet. Det er en karriere, der kræver dedikation, en bred vifte af kompetencer og mange års hårdt arbejde. For dem, der når toppen, er det en mulighed for at forme en organisations fremtid, drive vækst og skabe en kultur af excellence. Med et stort ansvar følger en attraktiv løn og muligheden for at avancere til de allerhøjeste poster, hvilket gør det til en yderst eftertragtet karrierevej for ambitiøse ledere.
Hvis du vil læse andre artikler, der ligner Driftsdirektør: Løn, Ansvar og Karrierevej, kan du besøge kategorien Karriere.
