17/10/2006
Introduktion til Karakteristiske Polynomier
I den fascinerende verden af lineær algebra spiller begreberne egenværdier og egenvektorer en afgørende rolle. De er fundamentale for at forstå, hvordan en lineær transformation påvirker et vektorrum. Forestil dig en transformation, der strækker, roterer eller komprimerer rummet; en egenvektor er en særlig vektor, hvis retning forbliver uændret af transformationen. Den tilhørende egenværdi er den faktor, hvormed egenvektoren skaleres. For at finde disse essentielle værdier, benytter matematikere et kraftfuldt værktøj: det karakteristiske polynomium. Denne artikel vil guide dig gennem definitionen, egenskaberne og anvendelserne af dette centrale koncept, så du kan få en dybdegående forståelse for dets betydning.

Motivationen: Hvorfor har vi brug for det?
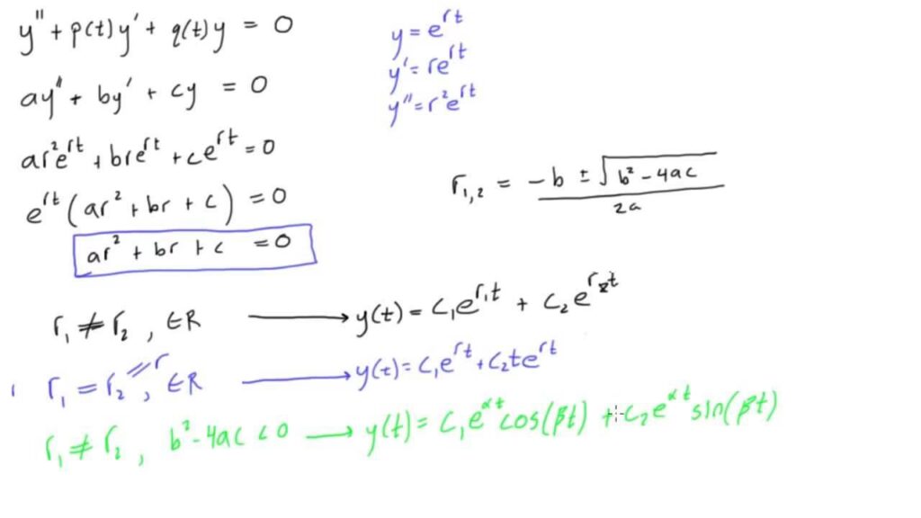
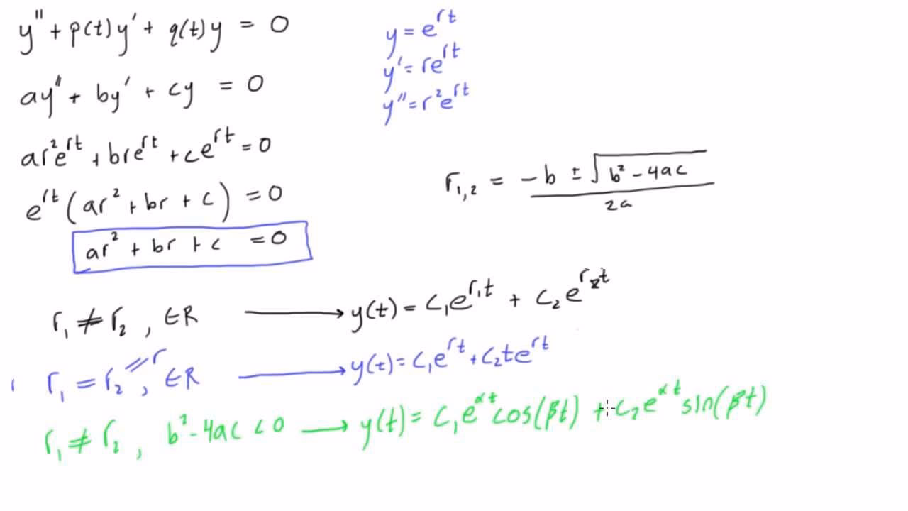
For at forstå, hvorfor det karakteristiske polynomium er så vigtigt, må vi starte med den grundlæggende ligning, der definerer egenværdier og egenvektorer. Lad os antage, at en lineær transformation er repræsenteret ved en kvadratisk matrix A. En egenvektor v og dens tilsvarende egenværdi λ (lambda) skal opfylde følgende ligning:
Av = λv
Denne ligning siger, at når matrixen A virker på vektoren v, er resultatet den samme vektor skaleret med en faktor λ. For at løse denne ligning for λ, omskriver vi den. Vi ved, at λv er det samme som (λI)v, hvor I er identitetsmatricen (en matrix med 1-taller i diagonalen og 0-taller overalt ellers).
Av = (λI)v
Nu kan vi flytte alle led over på den ene side:
(λI)v - Av = 0
(λI - A)v = 0
Her leder vi efter en løsning, hvor egenvektoren v ikke er nulvektoren (v ≠ 0). Hvis matricen (λI - A) var invertibel (dvs. havde en invers matrix), kunne vi gange med dens invers på begge sider, hvilket ville give v = 0. Da vi netop har defineret, at en egenvektor ikke kan være nulvektoren, må det betyde, at matricen (λI - A) ikke er invertibel. En matrix, der ikke er invertibel, kaldes singulær, og en afgørende egenskab ved singulære matricer er, at deres determinant er lig med nul.
Derfor må følgende gælde:
det(λI - A) = 0
Udtrykket det(λI - A) er et polynomium i variablen λ. Dette polynomium er netop det, vi kalder det karakteristiske polynomium for matricen A. Rødderne i dette polynomium er præcis de egenværdier, vi søger.
Formel Definition
Lad A være en n × n matrix. Det karakteristiske polynomium for A, betegnet som pA(t), er defineret som:
pA(t) = det(tI - A)
Her er I en n × n identitetsmatrix, og t er variablen i polynomiet (ofte bruges λ i stedet for t). Det er værd at bemærke, at nogle forfattere definerer det karakteristiske polynomium som det(A - tI). Denne alternative definition adskiller sig kun fra den første ved en faktor (-1)n. Selvom rødderne (egenværdierne) er de samme, sikrer den første definition, at polynomiet altid er monisk, hvilket betyder, at koefficienten for leddet med den højeste potens (tn) altid er 1. Dette kan være en fordel i mange teoretiske sammenhænge.
Eksempel på Beregning
Lad os beregne det karakteristiske polynomium for en 2 × 2 matrix for at gøre det mere konkret.
Givet matricen:
A = | 2 1 | | -1 0 |
Først opstiller vi matricen tI - A:
tI - A = | t 0 | - | 2 1 | = | t-2 -1 | | 0 t | | -1 0 | | 1 t |
Nu beregner vi determinanten af denne matrix:
det(tI - A) = (t - 2) * t - (-1) * 1
= t2 - 2t + 1
Dermed er det karakteristiske polynomium for A: pA(t) = t2 - 2t + 1. For at finde egenværdierne, sætter vi polynomiet lig med nul: t2 - 2t + 1 = 0, hvilket er det samme som (t - 1)2 = 0. Løsningen er t = 1, hvilket betyder, at matricen A har én egenværdi, nemlig 1, med en algebraisk multiplicitet på 2.
Centrale Egenskaber ved det Karakteristiske Polynomium
Det karakteristiske polynomium har en række vigtige egenskaber, som er nyttige at kende.
- Grad og Form: For en n × n matrix A er pA(t) et monisk polynomium af grad n.
- Rødderne er Egenværdier: Den mest fundamentale egenskab er, at rødderne i pA(t) er præcis egenværdierne for matricen A.
- Koefficienterne: Koefficienterne i polynomiet er tæt knyttet til matricens egenskaber. Specifikt gælder det, at:
- Den konstante koefficient (leddet uden t) er det( -A) = (-1)ndet(A).
- Koefficienten for tn-1 er -tr(A), hvor tr(A) er sporet af matricen A (summen af diagonalelementerne).
- Formel for 2x2 Matricer: For en generel 2 × 2 matrix er det karakteristiske polynomium altid givet ved den simple formel: pA(t) = t2 - tr(A)t + det(A).
- Cayley-Hamiltons Sætning: Denne berømte sætning fastslår, at enhver kvadratisk matrix opfylder sin egen karakteristiske ligning. Det vil sige, hvis pA(t) er det karakteristiske polynomium, så vil pA(A) resultere i nulmatricen. Dette er et dybt og kraftfuldt resultat i matrixteori.
- Lignende Matricer: To matricer A og B siges at være lignende, hvis der findes en invertibel matrix P, så B = P-1AP. En vigtig egenskab er, at lignende matricer har det samme karakteristiske polynomium. Det omvendte er dog ikke nødvendigvis sandt: to matricer med samme karakteristiske polynomium behøver ikke at være lignende.
- Transponeret Matrix: En matrix A og dens transponerede AT har altid det samme karakteristiske polynomium.
Sammenligning af Definitioner
Som nævnt findes der to almindelige definitioner af det karakteristiske polynomium. Her er en tabel, der opsummerer forskellene:
| Egenskab | Definition 1: pA(t) = det(tI - A) | Definition 2: p'A(t) = det(A - tI) |
|---|---|---|
| Monisk? | Ja, altid. | Kun hvis n er lige. |
| Forhold | pA(t) = (-1)np'A(t) | p'A(t) = (-1)npA(t) |
| Rødder (Egenværdier) | Identiske | Identiske |
| Konstant led | (-1)ndet(A) | det(A) |
| Koefficient for tn-1 | -tr(A) | (-1)n-1tr(A) |
Avancerede Koncepter
Karakteristisk Polynomium af et Produkt
Et interessant resultat opstår, når man ser på produktet af to matricer. Hvis A og B er to kvadratiske n × n matricer, så er det karakteristiske polynomium for AB det samme som for BA:
pAB(t) = pBA(t)
Dette betyder, at AB og BA har de samme egenværdier med de samme algebraiske multipliciteter. Dette gælder, selvom AB og BA generelt ikke er ens.
Karakteristisk Polynomium af en Matrixfunktion
Man kan udvide konceptet til at gælde for polynomiske funktioner af en matrix. Lad f(t) være et polynomium. Hvis egenværdierne for A er λ1, λ2, ..., λn, så er egenværdierne for matricen f(A) givet ved f(λ1), f(λ2), ..., f(λn). For eksempel, hvis λ er en egenværdi for A, så er λk en egenværdi for Ak. Dette er et meget nyttigt resultat, der forenkler analysen af mere komplekse matrixudtryk.
Ofte Stillede Spørgsmål (FAQ)
Hvorfor er det karakteristiske polynomium vigtigt?
Det er det primære værktøj til at finde en matrix' egenværdier. Egenværdier er fundamentale i utallige anvendelser inden for videnskab og ingeniørvidenskab, herunder stabilitetsanalyse af dynamiske systemer, beregning af vibrationsfrekvenser i mekaniske strukturer, kvantemekanik og algoritmer til datakomprimering som Principal Component Analysis (PCA).
Har alle matricer reelle egenværdier?
Nej. Rødderne i et polynomium kan være komplekse tal, og det samme gælder for egenværdier. En matrix med udelukkende reelle tal kan sagtens have komplekse egenværdier. Et vigtigt specialtilfælde er dog reelle symmetriske matricer, som altid er garanteret at have reelle egenværdier.
Hvad er forskellen på det karakteristiske polynomium og minimalpolynomiet?
Minimalpolynomiet for en matrix A er det moniske polynomium m(t) af lavest mulig grad, så m(A) = 0. Ifølge Cayley-Hamiltons sætning ved vi, at pA(A) = 0, hvilket betyder, at minimalpolynomiet altid må gå op i det karakteristiske polynomium. De har de samme rødder (altså de samme egenværdier), men multipliciteten af rødderne kan være lavere i minimalpolynomiet.
Kan to forskellige matricer have det samme karakteristiske polynomium?
Ja, absolut. Som nævnt er det ikke nok, at to matricer har samme karakteristiske polynomium for at de kan siges at være lignende. For eksempel kan en diagonaliserbar matrix og en ikke-diagonaliserbar matrix sagtens have det samme karakteristiske polynomium.
Hvis du vil læse andre artikler, der ligner Hvad er et Karakteristisk Polynomium?, kan du besøge kategorien Sundhed.
